- 1. Go 1.21版本之前的向前兼容问题
- 2. Go 1.21版本后的向前兼容策略
- 3. module依赖的Go toolchain版本的选择过程
- 4. GOTOOLCHAIN环境变量与toolchain版本选择
- 5. 小结
- 6. 参考资料
Go语言在发展演进过程中一直十分注重向后兼容性(backward compatibility),在Go 1.0版本发布之初就发布了Go1兼容性承诺,简单来说就是保证使用新版本Go可以正常编译和运行老版本的Go代码语法编写的go代码),不会出现breaking change(其实也不是绝对的不会出现)。
但是在Go 1.21版本之前,Go语言在向前兼容性方面却存在一定的不确定性问题。Go 1.21版本对此进行了改进,并引入了go toolchain规则。
1. Go 1.21版本之前的向前兼容问题
在Go 1.21版本之前,Go module中的go directive用于声明建议的Go版本,但并不强制实施。例如:
1 | // go.mod |
上面go.mod文件中的go directive表示建议使用Go 1.20及以上版本编译本module代码,但并不强制禁止使用低于1.20版本的Go对module进行编译。你也可以使用Go 1.19版本,甚至是Go 1.15版本编译这个module的代码。
但Go官方对于这种使用低版本(L)编译器编译go directive为高版本(H)的Go module的结果没有作出任何承诺和保证,其结果也是不确定的。
如果你在代码中没有引入高版本(>=L+1)go的新语法特性,那么编译是可以通过的。
如果你的代码没有用到任何高版本(>=L+1)的语法行为变更、bug或安全漏洞的代码,那么编译出的可执行程序运行起来也可以是正常的。
否则,可能会编译失败、运行失败, 或者运行时出现breaking change的问题。
自己的代码可以避免这些问题,但如果你的module有外部依赖,就无法避免了。从Go 1.21版本开始,Go团队在向前兼容方面做了改善,以规避编译结果的不确定性。
2. Go 1.21版本后的向前兼容策略
Go从Go 1.11版本引入go module,在go 1.16版本,go module构建模式正式成为默认构建模式,替代了原先的GOPATH构建模式。
通过go module,结合语义导入版本(semantic import versioning)、最小版本选择(Minimal version selection)等机制,go build可以实现精确的依赖管控。
Go 1.21版本后的向前兼容性策略的调整就是参考了go module对依赖的管理方法:即将go版本和go toolchain版本作为一个module的“依赖”来管理。如果你真正理解了这个,那理解后面那些具体的规则就容易多了!
如果Russ Cox当初设计Go module就想到了今天这个思路,估计就会直接使用go.mod文件中的require语法像管理依赖module那样来管理go version和go toolchain了:
1 | // go.mod (假想的) |
但时间无法倒流,历史不能重来,Russ Cox现在只能使用go directive和toolchain directive来提供对go版本和go工具链的依赖信息:
1 | // go.mod |
同时和使用go get可以改变go.mod的require块中的依赖的版本一样,通过go get也可以修改go.mod中go和toolchain指示的版本:
1 | $go get go@1.21.1 |
基于上述策略调整,为解决向前兼容不确定性的问题,Go从1.21版本开始,改变了go.mod中go directive的语义:它不再是建议,而是指定了module最小可用的Go版本。
这样在仅使用本地go工具链的情况下,如果Go编译器版本低于go.mod中的go版本,将无法编译代码:
1 | // go.mod |
这里有一个前提:“在仅使用本地go工具链的情况下(即设置了GOTOOLCHAIN=local)”,在Go 1.21版本之前,我们遇到的都属于这种情况。遇到这种情况后,我们一般的作法是手动下载对应版本的Go工具链(比如这里的go 1.21.1),然后用新版工具链重新编译。
Go团队考虑到手动管理go工具链带来的体验不佳问题,在Go 1.21版本及以后,go还提供了自动Go工具链管理,如果go发现本地工具链版本低于go module要求的最低go版本,那么go会自动下载高版本的go工具链,缓存到go module cache中(不会覆盖本地安装的go工具链),并用新下载的go工具链对module进行编译构建:
1 | // go.mod |
注:从兼容性方面考虑,如果go.mod中没有显式的用go指示go版本,那么默认go版本为1.16。
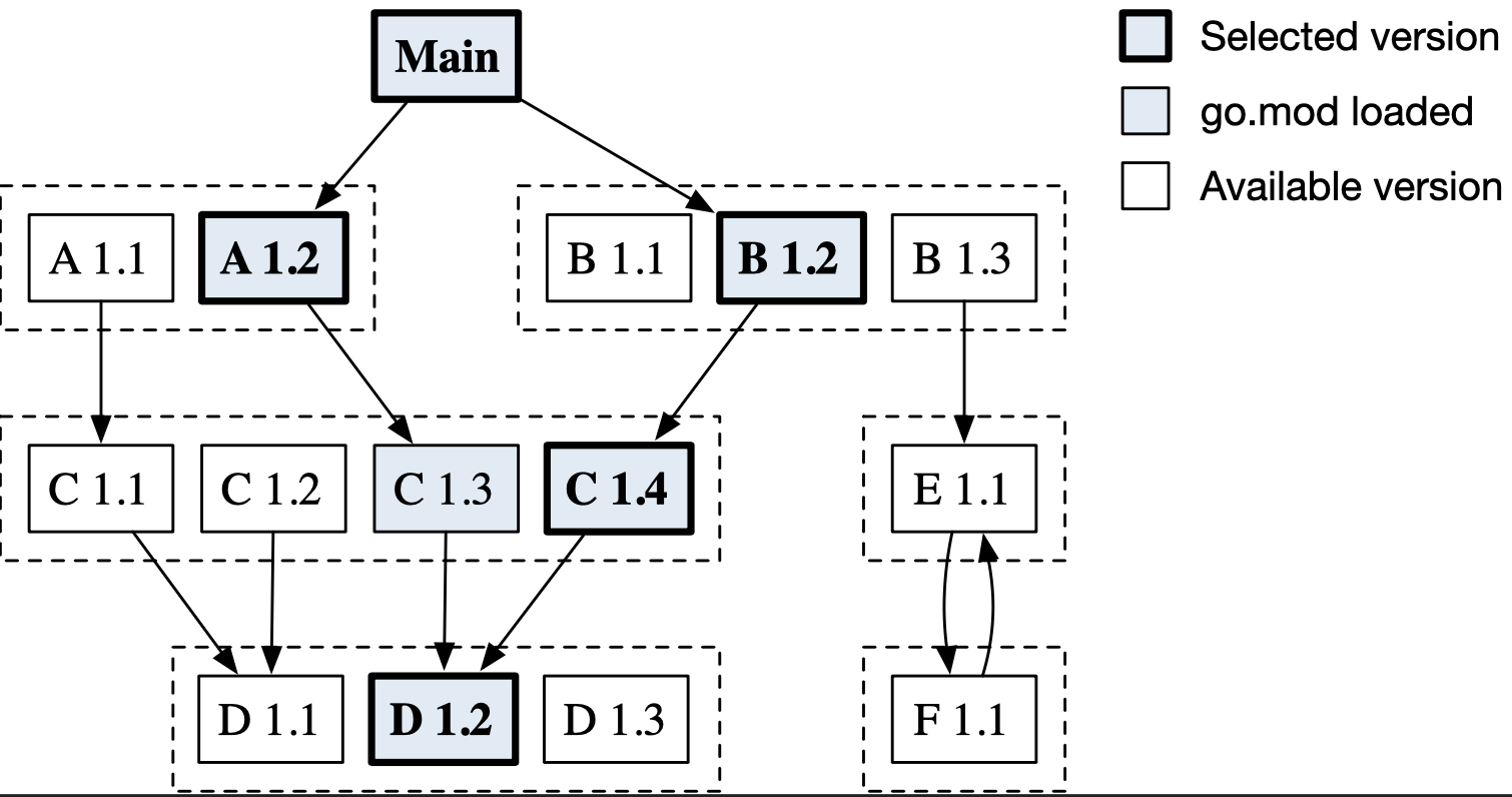
对应module有依赖的情况,比如下图:

这里要正确编译图中的main module,我们至少需要go 1.21.0版本,这个版本是main所有依赖中version最大的那个。
当然最终选择哪个版本的go工具链对module进行编译,则有一个选择决策的过程。
go module构建模式下,go工具链选择依赖module的版本时有一套机制,比如最小版本选择等,Go 1.21以后,go工具链版本的选择,也有一套类似的逻辑。接下来我们就来简单看一下。
3. module依赖的Go toolchain版本的选择过程
go module中依赖module的版本选择机制:最小版本选择(mvs)

以module C的版本选择为例,A依赖C 1.3,B依赖C 1.4,那么满足应用依赖需求的最小版本就是1.4。如果选择1.3,则不满足B对依赖的要求。
对Go toolchain的选择过程也遵循mvs方法,我们把前面的那个例子拿过来:

现在我们帮这个例子选择go toolchain版本。
注:如果go.mod中没有显式用toolchain指示工具链版本,那我们可以认为go.mod中有一个隐含的toolchain指示版本,该版本与go directive指示的版本一致。
上面的例子中对toolchain version的最高要求为module D的go 1.21.0,当startup toolchain(执行的那个go命令的版本)得到这个信息后,就会在当前可用的toolchain版本列表中选出满足go 1.21.0的最小版本的go toolchain,然后会有一个叫Go toolchain switches(Go工具链切换)的过程,切换后,选出的新版go toolchain会继续后面的工作(编译和链接)。例如,如果可用的toolchain版本有如下三个:
- go 1.22.7
- go 1.21.3
- go 1.21.5
那么startup toolchain会根据mvs原则选出满足go 1.21.0的最小版本,即go 1.21.3。
这里大家可能会马上问:什么是可用的toolchain版本?别急!接下来我们就来回答这个问题。
4. GOTOOLCHAIN环境变量与toolchain版本选择
是否执行自动工具链下载和缓存、Go toolchain switches(Go工具链切换)以及切换的工具链的版本取决于GOTOOLCHAIN环境变量的设置、go.mod中go和toolchain指示的版本。
当go命令捆绑的工具链与module的go.mod的go或工具链版本一样时或更新时,go命令会使用自己的捆绑工具链。例如,当在main module的go.mod包含有go 1.21.0时,如果go命令绑定的工具链是Go 1.21.3版本,那么将继续使用初始toolchain的版本,即Go 1.21.3。
而如果go.mod中的go版本写着go 1.21.9,那么go命令捆绑的工具链版本1.21.3显然不能满足要求,那此时就要看GOTOOLCHAIN环境变量的配置。
GOTOOLCHAIN的设置以及对结果的影响略复杂,下面是GOTOOLCHAIN的多种设置形式以及对toolchain选择的影响说明(以下示例中本地go命令捆绑的工具链版本为Go 1.21.0):
<name>
例如,GOTOOLCHAIN=go1.21.0。go命令将始终运行该特定版本的go工具链。如果本地存在该版本工具链,就使用本地的。如果不存在,会下载、缓存起来并使用。如果go.mod中的工具链版本高于name版本,则停止编译:
1 | $cat go.mod |
<name>+auto
当GOTOOLCHAIN设置为<name>+auto时,go命令会根据需要选择并运行较新的Go版本。具体来说,它会查询go.mod文件中的工具链版本和go version。如果go.mod 文件中有toolchain行,且toolchain指示的版本比默认的Go工具链(name)新,那么系统就会调用toolchain指示的工具链版本;反之会使用默认工具链。
当本地不存在决策后的工具链版本时,会自动下载、缓存,并使用该缓存工具链进行后续编译。
1 | $cat go.mod |
<name>+path
当GOTOOLCHAIN设置为<name>+path时,go命令会根据需要选择并运行较新的Go版本。具体来说,它会查询go.mod文件中的工具链版本和go version。如果go.mod 文件中有toolchain行,且toolchain指示的版本比默认的Go工具链(name)新,那么系统就会调用toolchain指示的工具链版本;反之会使用默认工具链。当使用<name>+path时,如果决策得到的工具链版本在PATH路径下没有找到,那么go命令执行过程将终止。
1 | $cat go.mod |
- auto (等价于 local+auto,这也是默认值)
auto的语义是当go.mod中工具链版本低于go命令捆绑的工具链版本,则使用go命令运行捆绑的工具链;反之,自动下载对应的工具链版本,缓存起来并使用。
1 | $cat go.mod |
- path (等价于 local+path)
path的语义是当go.mod中工具链版本低于go命令捆绑的工具链版本,则使用go命令运行捆绑的工具链;反之,在PATH中找到满足go.mod中工具链版本的go版本。如果没找到,则会停止编译过程:
1 | $cat go.mod |
- local
当GOTOOLCHAIN设置为local时,go命令总是运行捆绑的 Go 工具链。如果go.mod中工具链版本高于local的版本,则会停止编译过程。
1 | $cat go.mod |
当Go工具在编译module依赖项时发现当前go toolchain版本无法满足要求时,会进行go toolchain switches(切换),切换的过程就是从可用的go toolchain列表中取出一个最适合的。
那么“可用的go toolchain列表”究竟是如何组成的呢? go命令有三个候选版本(以 Go 1.21.1为例,这些版本也是Go当前承诺提供support的版本):
- 尚未发布的Go语言版本的最新候选版本(1.22rc1)
- 最近发布的 Go 语言版本的最新补丁 (1.21.1)
- 上一个Go语言版本的最新补丁版本(1.20.8)。
当GOTOOLCHAIN设置为带auto形式的值的时候,Go会下载这些版本;当GOTOOLCHAIN设置为代path形式的值的时候,Go会在PATH路径搜索适合的go工具链列表。
接下来,go会用mvs(最小版本选择)来确定究竟使用哪个toolchain版本。Go toolchain reference中就有这样一个例子。
假设example.com/widget@v1.2.3需要Go 1.24rc1或更高版本。go命令会获取可用工具链列表,并发现两个最新Go工具链的最新补丁版本是Go 1.28.3和Go 1.27.9,候选版本Go 1.29rc2也可用。在这种情况下,go 命令会选择Go 1.27.9。
如果 widget 需要 Go 1.28或更高版本,go命令会选择 Go 1.28.3,因为 Go 1.27.9 太旧了。如果widget需要Go 1.29或更高版本,go命令会选择Go 1.29rc2,因为Go 1.27.9和Go 1.28.3都太老了。
5. 小结
Go 1.21通过增强go语句语义和添加工具链管理,大幅改进了Go语言的向前兼容性。开发者可以放心使用新语言特性,无需担心旧版本编译器带来的问题。go命令会自动处理不同module使用不同go版本和不同工具链版本的情况,使用Go语言变得更简单。